Queens University at Kingston

HyperMetricsNotes

regress File 6
[regress Contents] [Previous File] [Next File]


E. Confidence Intervals for Regression Coefficients

  • Confidence Intervals for Regression Coefficients
  • From Property 3 above, confidence intervals for OLS estimates are computed just as with any other estimator that is normally distributed:
    $$\eqalign{ \hat\beta_1 &\pm \hat{se}(\hat\beta_1) t_{N-2,1-\alpha}\cr \hat\beta_2 &\pm \hat{se}(\hat\beta_2) t_{N-2,1-\alpha}\cr }$$
    From a mechanical point of view, there are three steps to construct a confidence interval.

    F. Hypothesis Tests for Regression Coefficients


    In the introduction to regression, we suggested that the standard model of competitive equilibrium predicts a statistical hypothesis about the relationship between minimum wages and employment. Many predictions of economic theory become converted to statistical hypotheses about regression coefficients. For the LRM we can write the 5 required elements of a hypothesis test as:

    Specifying a Hypothesis Test of a Regression Coefficient

    See hypothesis testing for a general review of what a hypothesis test does.
    1. Model

      $$\eqalign{ &Y = \beta_1 + \beta_2 X + u\cr &H_0: \beta_j = B \cr &H_A: \beta_j \{\ne,<,>\} B\cr }$$
      (where j = 1 or 2)
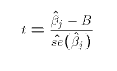
    2. Test statistic

      $$t = {\hat\beta_j - B \over \hat{se}(\hat\beta_j)}$$
      Its distribution under $H_0$ :

      $$t \sim t_{N-2}$$
    3. Significance level: $alpha$
      Critical Region: reject H0 if t > $t^\star_{N-2}$
    4. Computed Value of the test statistic: ???
    5. Decision: Reject if the computed value lies in the Critical Region Otherwise, Fail to Reject
    Notice that this form lists the five required elements of a properly specified hypothesis test. We know the distribution of the test statistic under H0 is the t distribution under assumptions A0-A7 as discussed in class. The researcher choses B, $H_A$ , and $\alpha$ ahead of time. Before even looking at the data everything above the "------" can be specified. The only components of the hypothesis test that depend upon the data are the value of the test statistic in the sample and the actual decision.

    Tutorial Week 4 provides the steps necessary to complete a hypothesis test in Stata.


    [regress Contents] [Next File] [Top of File]

    This document was created using HTX, a (HTML/TeX) interlacing program written by Chris Ferrall.
    Document Last revised: 1997/1/5