
and
from the sample
information. There are many ways to approach the problem of estimation in
the context of the LRM. But under our assumptions, they usually end up
pointing toward very similar solutions. Under different assumptions,
however, various approaches to estimating the PRE can give very different
results.
and
of
and
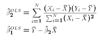
, define the following terms
and
are
defined as
and
of
and
that minimize SS for the sample data.

Note Because we won't be considering other estimators
for several weeks, the superscript OLS will be dropped. Unless noted
otherwise
refers to the OLS estimate of
. Likewise
for
.
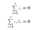
The solutions come from solving the two normal equations
which in turn are simply the first order conditions for minimizing SSE.
Stata also reports the SSE in the output table, although it calls the SSE
the Residual Sum of Squares or (RSS). The interpretation of all values in
the table will become apparent as we go along.
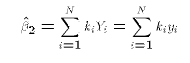
Each of these properties spring directly or indirectly from the normal
equations.
, and
. These two properties of the OLS weights
will prove useful
in proving the Gauss-Markov Theorem later on.
The top part of this example shows you how you could use Stata as a
calculator to compute OLS estimates from data. Each "generate" statement
is a step towards the formulas for the OLS estimates. However, once
you understood what the formulas mean there is no need to compute OLS
estimates in this way. Stata does it automatically with its "regress"
command. If you look at the "Coef." column you see the match up
to the b1hat and b2hat values. The estimated coefficient on X is
*
* Calculating OLS estimates of regression coefficients
*
. input X Y
X Y
1. 1 .75
2. 2 2.25
3. 3 4
4. 4 2.5
5. 5 5.5
6. end
. egen xbar = mean(X) Computes mean of X, puts in xbar
. egen ybar = mean(Y)
. gen x = X-xbar Generates deviation from mean
. gen y = Y-ybar
. gen xsq = x*x Generates deviation squared
. egen sxsq = sum(xsq) Generates sum of squared deviations
. gen k = x/sxsq Generates weight on Y
. gen kY = k*Y
. egen b2hat = sum(kY) Generates b2hat (OLS estimate)
. gen b1hat = ybar - b2hat*xbar Generates b1hat (OLS estimate)
. gen Yhat = b1 + b2hat*X Generates Predicted Y (on OLS line)
. gen e = Y - Yhat Generates prediction error or residual
. gen esq = e*e Generates OLS error square
. list, nodisplay noobs
X Y xbarybar x y xsq sxsq k kY b2hat b1hat Yhat e esq
--- ---- -------- --- ---- --- ---- ---- ----- ----- ----- ----- ----- ----
1.0 0.75 3.0 3.0 -2.0 -2.25 4.0 10.0 -0.20 -0.150 0.975 0.075 1.050 -0.300 0.09
2.0 2.25 3.0 3.0 -1.0 -0.75 1.0 10.0 -0.10 -0.225 0.975 0.075 2.025 0.225 0.05
3.0 4.00 3.0 3.0 0.0 1.00 0.0 10.0 0.00 0.000 0.975 0.075 3.000 1.000 1.00
4.0 2.50 3.0 3.0 1.0 -0.50 1.0 10.0 0.10 0.250 0.975 0.075 3.975 -1.475 2.17
5.0 5.50 3.0 3.0 2.0 2.50 4.0 10.0 0.20 1.100 0.975 0.075 4.950 0.550 0.30
. regress Y X
Source | SS df MS Number of obs = 5
---------+------------------------------ F( 1, 3) = 7.88
Model | 9.50625 1 9.50625 Prob > F = 0.0674
Residual | 3.61875 3 1.20625 R-square = 0.7243
---------+------------------------------ Adj R-square = 0.6324
Total | 13.125 4 3.28125 Root MSE = 1.0983
------------------------------------------------------------------------------
Y | Coef. Std. Err. t P>|t| [95 Conf. Interval]
---------+--------------------------------------------------------------------
X | .975 .3473111 2.807 0.067 -.1302989 2.080299
_cons | .075 1.151901 0.065 0.952 -3.590862 3.740862
------------------------------------------------------------------------------
and the coefficient on the constant (=1) is
. Notice that
when computing OLS estimates Stata never knows the true
population parameters. So "Coef." is short for "OLS Coefficient Estimates".
Compare the estimated coefficients from the regression
above to the earlier analysis
of the conditional expectation
of cigarettes. Can you use equation E7 to explain the
connection?
. gen female = dvsex - 1 * dvsex was coded 1,2 not 0,1
. regress cigs female
Source | SS df MS Number of obs = 600
---------+------------------------------ F( 1, 598) = 4.33
Model | 403.44 1 403.44 Prob > F = 0.0378
Residual | 55669.2533 598 93.0923969 R-squared = 0.0072
---------+------------------------------ Adj R-squared = 0.0055
Total | 56072.6933 599 93.6105064 Root MSE = 9.6484
------------------------------------------------------------------------------
cigs | Coef. Std. Err. t P>|t| [95 Conf. Interval]
---------+--------------------------------------------------------------------
female | -1.64 .7877918 -2.082 0.038 -3.187175 -.092825
_cons | 6.533333 .557053 11.728 0.000 5.439315 7.627351
------------------------------------------------------------------------------
This document was created using HTX, a (HTML/TeX) interlacing program written by Chris Ferrall.
Document Last revised: 1997/1/5