
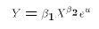
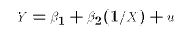
Here is what appears to be a non-linear model:
In other words, E1 can be remapped into the PRE
(E2) through a transformation of the exogenous variable X. The key is that
we can do the re-mapping
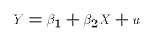
Here is another model that can be re-mapped in the LRM:
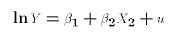
We can take logs of both sides of E3:
The semi-log specification is:
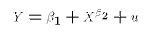
Here is a model that can't be re-mapped into the LRM:
Once a researcher has specified the PRE, there are two types of
statistical procedures that can be performed on the PRE:
How do we get a "good" estimates of
What can we infer about
where
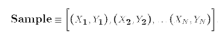
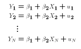
An equivalent way to write down the PRE is observation by observation:
is an unknown population parameter, known as the constant
or intercept term.
is an unkonwn population parameter, known as the coefficient
or slope parameter.
Since A0 assumes that each observation is drawn from the
same population this way of writing the PRE is equivalent to (*).
We will often refer to an arbitrary observation with the index
.
But, we could re-define the exogenous variable:
Now (E1) can be written
without knowing the values of the
population parameters
and
.
Why would we start out with such an equation? There are many
reasons. For one thing, we may have an economic theory that
tells us that X and Y should be exponentially related. For another
thing, we may
be dealing with variables that can only take on positive values. For
example, the minimum wage and the unemployment rate are never negative
numbers. A direct linear relationship between them allows the possibility
that one could generate negative predicted values from the statistical
analysis. In the case of the unemployment rate, this would be nonsense.
By starting with E3 we guarantee that our model generates positive
values.
We have to keep in mind that the intercept in E4 is the
natural log of the original coefficient
. We could
re-define our variables and parameters:
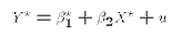
For the obvious reason, Equation (E5) is called the double-log
specification.
Given our original data, we create new variables X* and Y*, and then
our original model maps into a LRM on the new variables.
There is no way to define functions of X and Y that fit into the LRM
without knowing the value of
. But the whole idea of regression is
to estimate
and
from data without knowing the value of
beforehand.
E6 is a model which would have to be estimated using
non-linear regression techniques. We will have examples of
particular non-linear models later in the term.
How to choose the
specification of the PRE is an important topic. In this class,
however, we do not focus on the question. We will instead
focus on the simpler question: given a specification of the PRE, what do
we do?
The answer to these questions depend crucially upon the other elements of
the LRM - the assumptions about the variables.
and
?
What assumptions about the PRE make a given estimator a good one?
and
from sample
information? That is, how do we form confidence intervals
for
and
and/or test hypotheses about them.
This document was created using HTX, a (HTML/TeX) interlacing program written by Chris Ferrall.
Document Last revised: 1997/1/5