Queens University at Kingston

HyperMetricsNotes

glossary File 5
[glossary Contents] [Previous File] [Next File]


E. Useful random variables

  1. Normal: A random variable X is normally distributed if its density function is exactly of the form:

  2. $$f(x) = {1\over\sqrt{2\sigma^2\pi}}\exp\left({-1\over 2\sigma^2}(x-\mu)^2\right)$$
    where $\mu$ is the mean of X and $\sigma^2$ is the variance of X.
    We indicate that X is a normal random variable by writing: X ~ N($\mu$ ,$\sigma^2$ )

  3. Standard normal random variable (usually called Z) is the special case Z ~ N(0,1)
  4. Chi-square distribution or $\chi^2_k$ Let Z1, Z2, ... , Zk be k independent standard normal random variables. Then the function

  5. $$C \equiv \sum_{i=1}^k X^2_i$$
    follows the chi-squared distribution with k degrees of freedom. We write $C \sim \chi^2(k)$ or sometimes $\chi^2_k$ .

  6. t-distribution or $t_{k}$ Let Z ~ N(0,1) and C ~ $\chi^2(k)$ where Z and C are indendent. Then the function
  7. $t \equiv {Z \over \sqrt{{C\over k}} }$ follows the $t_k$ distribution.

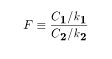
  8. F distribution or $F(k_1,k_2)$ : Let $C_1 \sim \chi^2_{k1}$ and $C_2 \sim \chi^2_{k2}$ be indpendently distributed. Then the function
    $$F \equiv { {C_1 / k_1} \over {C_2 / k_2}}$$
    follows the follows the $F(k_1,k_2)$ distribution.

Important properties of the normal distribution

  1. A linear combination of normal random variables is also normally distributed. Let $X_i\ (i=1,..,m)$ be m normally distributed random variables, and let $c_i$ be m constants. Then the random variable
    $$X \equiv \sum_{i=1}^t X_i$$
    is also normally distributed.
  2. If X and Y are both normal then Cov[X,Y] = 0 $\rightarrow$ X and Y independent.

[glossary Contents] [Next File] [Top of File]

This document was created using HTX, a (HTML/TeX) interlacing program written by Chris Ferrall.
Document Last revised: 1997/1/5